Indicador de Movimento Direcional


Quando estamos imersos em um contexto de negociação de ativos, certamente reconhecemos a importância da análise técnica na tomada de decisões informadas. Entre as muitas ferramentas à disposição dos investidores, o Indicador de Movimento Direcional, DMI - Directional Movement Index, destaca-se como uma peça importante na identificação de tendências e na avaliação da força de um movimento de preço.
Ao explorarmos a história por trás do DMI, encontramos o genial J. Welles Wilder Jr., um dos mestres da análise técnica, que, em 1978, apresentou ao mundo financeiro o seu revolucionário "New Concepts in Technical Trading Systems" (Novos Conceitos em Sistemas de Negociação Técnica).
Fonte: TradingView
Para entendermos a lógica subjacente e explorarmos como os investidores utilizam essa poderosa ferramenta de movimentos de mercado, devemos compreender os componentes do DMI.

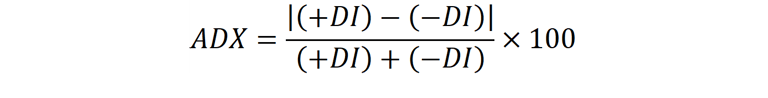
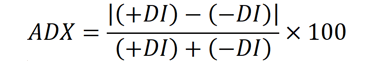
A leitura habitual participa que valores do ADX inferiores a 20 podem indicar uma tendência fraca ou a ausência de uma tendência definida.
Valores acima de 25 para o ADX podem ser interpretados como um sinal de que uma tendência está se fortalecendo, independentemente da direção (alta ou baixa).
Já um ADX acima de 40 é geralmente considerado um sinal de que há uma tendência forte.
Da mesma leitura, valores de +DI inferiores a 20 podem indicar uma tendência fraca ou a ausência de uma tendência definida e valores acima de 25 podem ser considerados como um sinal de que uma tendência alta está se fortalecendo.
Quanto maior o valor de +DI, mais significativa é a tendência de alta.
Por sua vez, e de maneira semelhante, valores de -DI inferiores a 20 podem indicar uma tendência fraca ou a ausência de uma tendência definida e valores acima de 25 podem ser considerados como um sinal de que uma tendência baixa está se fortalecendo.
Da mesma forma, quanto maior o valor de -DI, mais significativa é a tendência de baixa.
Positive Directional Movement (+DM). O +DM mede a variação positiva do preço, ou seja, a diferença entre os preços altos de dois períodos consecutivos, mas é zero se o preço atual for menor ou igual ao preço anterior.

Negative Directional Movement (-DM). O -DM mede a variação negativa do preço, ou seja, a diferença entre os preços baixos de dois períodos consecutivos, mas é zero se o preço atual for maior ou igual ao preço anterior.

True Range (TR). O TR captura a maior variação entre três valores, refletindo a volatilidade do mercado durante o período considerado. O primeiro valor trata da diferença entre o preço mais alto (High current) e o preço mais baixo (Low current) do período atual; o segundo, da diferença absoluta entre o preço mais alto (High current) e o preço de fechamento anterior (Close previous); e o último, da diferença absoluta entre o preço mais baixo (Low current) e o preço de fechamento anterior (Close previous).

Smoothed True Range (ATR). De acordo com Steven B. Achelis (Techinal Analysis from A to Z, McGraw-Hill), o ATR mede volatilidade e é usado como um componente de muitos indicadores, dentre eles, o DMI. É uma média ponderada exponencial da True Range ao longo de um período específico (n).
Positive Directional Index (+DI). É calculado dividindo o Smoothed+DM pelo ATR e multiplicando por 100 para obter uma porcentagem. Ele representa a força da tendência de alta.
Negative Directional Index (-DI). É calculado de forma semelhante ao +DI, representando a força da tendência de baixa.
Onde Smoothed+DM é uma média exponencial ponderada do Positive Directional Movement (+DM) ao longo de um determinado número de períodos.
Onde Smoothed-DM é uma média exponencial ponderada do Negative Directional Movement (-DM) ao longo de um determinado número de períodos.
Average Directional Index (ADX). O ADX é calculado a partir do +DI e -DI, representando a força geral da tendência, independentemente da sua direção. Quanto maior o valor do ADX, mais forte é a tendência.

A Interpretação
Os Componentes


As Considerações
Em razão das características inerentes, o comportamento de todo indicador técnico deve ser estudado por ativo, preferencialmente em múltiplos tempos gráficos.
Isto posto, para facilitar a visualização dos componentes do DMI, sugerimos a utilização de linhas horizontais na janela do indicador para marcarmos pontos importantes. A primeira linha, branca e tracejada, sobre o valor 25, que serve de interseção para as interpretações de ADX, +DI e -DI.
Ainda com base na interpretação habitual, a segunda linha horizontal seria sobre o valor 40, importante marco para o ADX, que pode representar força de tendência, em especial quando em um conjunto crescente de valores.
No gráfico a seguir, perceba a contribuição do ADX na formação da tendência, bem como o fato da curva de +DI estar acima da curva de - DI, indicando a tendência de alta.




Para os que estudam o comportamento do indicador frente a um determinado ativo e se sentem melhor com operações simuladas a favor da tendência principal, sugerimos atenção em dois momentos. O primeiro quando a curva de ADX está abaixo das curvas de +DI e de - DI, indicando a ausência de tendência, ou seja, lateralização (alcance).
O segundo, com base em linha de suporte fixada na janela do DMI, que pode indicar um momento de correção ou de reversão de movimento de preços, conforme segue:
Por fim, ressaltamos que antes de investir, você deve compreender os riscos associados a cada ativo. Deve avaliar os fatores que podem influenciar os preços, como eventos econômicos, políticos e setoriais, bem como considerar o uso de ordens de stop loss para limitar perdas.
Indicadores
Produtos
Artigos
Determine
Estudo Semanal
Robô MQL5


